遅発性筋肥大超回復
遅発性筋肥大超回復、つまり厳しいトレーニングサイクルを終えた後の数日間筋肉は成長し続けるという考えは、非常に議論のあるトピックです。
最近の研究によって、遅発性筋肥大超回復が可能だと示す初めての根拠が得られました。
しかしながら、話はそれだけでは終わりません。
本記事は、最近の研究をレビュー、解説しているものです。研究は、 Delayed Myonuclear Addition, Myofiber Hypertrophy and Increases in Strength with High-Frequency Low-Load Blood Flow Restricted Training to Volitional Failure by Bjørnsen et al. (2018)になります。
重要なポイント
- 本研究では、トレーニング未経験者が高頻度血流制限トレーニングを、ブロック間は10日で2ブロック行いました。
- 筋力と筋繊維断面積のどちらも遅発性超回復のパターンに従っているように見えました。筋繊維断面積は最初減少しましたが、最後のセッションを終えてから最低10日間は増加しています。膝伸展最大筋力は最後のセッションを終えてから最低20日間は向上しています。
- 興味深いことに、筋繊維断面積と筋全体のサイズは異なった適応パターンに従っていました。筋全体のサイズは最初に減少せず、トレーニング後にも増加し続けませんでした。
序論
最近Bjørnsenらによる興味深い結果が出た研究をレビューしました。
2週間の低重量血流制限トレーニングのみでタイプ1繊維の筋肥大が起こり、これは筋繊維タイプ特異の筋肥大が存在するという明白な根拠になります。(2)
彼らはさらに興味深い研究を行い、それによって初めて、遅発性筋肥大超回復が示されているかもしれません。
遅発性超回復は、トレーニング期間を終えた後も、有益な適応が起こり続けるという考えです。
多くの場合、オーバーリーチングの文脈で議論されます。
一定期間通常のキャパシティを超えてトレーニングし、数日間休むことで、有益な適応が急速に得られるというものです。
ほとんどの人は遅発性超回復をパフォーマンスの観点で考え、テーパリングとピーキングに関する数々の理論はこの考えに基づいています。
しかし、遅発性筋肥大超回復はもっと物議をかもすものです。従来の考えでは、トレーニングを止めると筋肉の成長も止まります。
本研究では、トレーニング未経験者が5日間の高頻度低重量血流制限トレーニングブロックを2回終えました。
膝伸展最大筋力、筋繊維断面積、筋全体の断面積と筋厚が測定されました。
筋全体サイズの指標はすぐに増加し、トレーニングを中止すると少し減少した可能性がありますが(恐らく腫れが治まることにより)、筋繊維断面積と膝伸展筋力は2回目のブロックを終えた後もしばらくの間増加し続けました。
筋繊維断面積が増加し続けたことや、繊維のサイズと筋全体のサイズの変化に違いがあるのは非常に興味深く、詳しく見てみたいと思います。
研究の目的と仮説
目的
本研究の目的は、「10日間の休憩を挟んだ高頻度血流制限トレーニング2ブロックの、筋繊維と筋全体、筋核とサテライト細胞数、筋力への影響と、それら変化の時間軸を調査すること」でした。
仮説
過去の研究において、高頻度血流制限トレーニングによる筋肥大は7日間トレーニングした後にプラトーに達しました。(3)
トレーニングブロック間に10日間休憩を設けることでアナボリックな刺激への反応がリセットされ、両トレーニングブロックにおいて、筋肥大やサテライト細胞数の増加、筋核の増大が起こると仮説が立てられました。
被験者と手法
被験者
本研究には、トレーニング経験のない16名の娯楽的運動習慣を有する成人が参加しました。
研究中に3名がドロップしたため、最終分析には13名が含まれています。被験者の詳細は表1にて確認できます。

実験のデザイン
それぞれの参加者に対し研究は46日かかっています。トレーニング開始の1週間前に、大腿四頭筋のサイズや筋力、血液検査、筋生検などの基準値テストを行いました。
トレーニング自体は、高頻度で血流制限を利用した低重量膝伸展運動を、2ブロック行っています。
それぞれのブロックは5日間で、ブロックの始め3日間は1日1回トレーニングし、最後2日間は1日2回トレーニングしています。(5日間で7セッションを達成するため)
全てのセッションにおいて、被験者は1RMの20%の重量で片足毎に血流制限膝伸展運動を限界まで、セット間は30秒休憩し4セット行いました。
右足で4セット終えた後に、左足で4セット実施しました。また、血流制限(女性は90mmHg、男性は100mmHg)を実施するために利用した器具は、セット間もつけたままでした。
2ブロック間に10日の休憩があり、2ブロック目の3、5、10、20日後にトレーニング終了後の測定がありました。
筋力は膝伸展運動の1RM、筋肥大は超音波検査・筋生検・MRIを利用して測定し、筋ダメージ測定(クレアチンキナーゼとミオグロビン)のために血液検査をしました。
概要については、図1で確認できます。

研究結果
パフォーマンス
研究中にトレーニング重量は変化しませんでしたが、レップ数は向上しました。 最初のブロックでは1セッション80±14レップ、2ブロック目では89±13レップでした。
筋ダメージや筋肉痛
最初のトレーニングブロックにおいて筋ダメージの指標は有意に向上し、休憩の週で基準値に戻りましたが、2ブロック目には有意な向上が見られませんでした。
筋肉痛(視覚的評価スケールで評価)は最初のブロックの3日目にピークに達した一方で、クレアチンキナーゼとミオグロビンは最初のブロックの最終日にピークに達しています。

筋繊維断面積
筋繊維断面積は最初に有意に減少しました。タイプ1繊維(最初のブロック中に-6%)に比べ、タイプ2繊維(休憩期間中に-15%)の方が減少幅が大きいです。
筋繊維断面積が最初に減少した後は、研究中ずっと繊維のサイズは向上しています。
どちらの繊維タイプも最後のトレーニングセッションから3日後には基準値に戻り、トレーニング終了から10日後には基準値を超えています。(タイプ1は+19%、タイプ2は+11%)
基準値からトレーニング終了10日後の差を見ると、タイプ1繊維は有意差があり(p=0.01)、タイプ2はそうではありませんでした(p=0.09)。

筋肥大
超音波検査による筋肥大推測値では、話が変わってきます。
大腿直筋の断面積と外側広筋の筋厚が、最初のトレーニングブロック終わりに基準値から有意に増加し(それぞれ+6,8%と+5.6%)、10日間の休憩期に基準値に戻る傾向がありました。(基準値から+1,5%と+3.4%)。
2回目のブロック終わりに再び有意に増加し(基準値から+7.9%と+6.9%)、そして最後のセッションから10日間は基準値より高いレベルを維持しました(有意差はないが若干減少し基準値から+7.0%と+5.7%)。
MRIは基準値測定時とトレーニング終了5日後にしか利用されていませんが、大腿直筋の断面積と外側広筋の断面積、大腿四頭筋の大面積はどれも有意に増加しています。
しかしながら、超音波検査や筋生検と比較すると、比較的小さな増加の傾向となりました(大腿直筋の断面積+6.2%、外側広筋の断面積+2.4%、大腿四頭筋の断面積+1.2%)。

筋力
筋繊維断面積同様に膝伸展運動の1RM筋力も、スタート時点から休憩期間で-4%と有意な減少が見られました。
トレーニング終了の3日後、10日後には筋力は基準値と有意差がありませんでしたが、20日後には有意に向上(+6%)しています。
しかしながら、平均筋力の変動は非常に小さく、基準値で65kg、休憩期に63kg、トレーニング20日後に69kgでした。

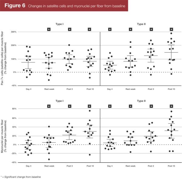
筋サテライト細胞と筋核
筋繊維あたりのサテライト細胞数は、どちらの筋繊維タイプにおいても素早く増加しました。(最初のトレーニングブロック4日目までに、タイプ1繊維では最大70%、タイプ2繊維では最大50%)
タイプ1繊維においてはここからおよそ横ばいとなりますが(トレーニング終了3日後の+96%がピーク)、タイプ2繊維のサテライト細胞数は累増していきました(トレーニング終了10日語の+144%がピーク)。
どちらの筋繊維タイプにおいても、筋繊維あたりの筋核数はスタート時点から休憩期の間で増加しませんでした。
しかしながら、2回目のブロックを終えると筋繊維あたりの筋核数が増加し、トレーニング終了10日後に両筋繊維タイプでピークに達しました。(タイプ1筋繊維で+30%、タイプ2筋繊維で+31%)
興味深いことに、筋核ドメインは両筋繊維タイプとも減少する傾向にありました。

リフターやコーチ向けの研究レビューとなるので、細胞シグナルマーカーについては長々と書きませんが、トレーニング終了から10日後が最もアナボリズムに好ましい遺伝子発現パターンでした。
研究の解釈
これらの結果にはいくつか興味深い点があります。
筋ダメージと筋肉痛
注意点から始めると、最初のブロック途中で研究を中止した被験者の中に、横紋筋融解症の徴候とも考えられる症状を持った人がいました。(痛み、筋力の異常な低下、クレアチンキナーゼの急上昇)
より一般的な観点では、被験者は最初のブロックにおいてクレアチンキナーゼ、ミオグロビン、筋肉痛が大きく上昇しています。
一般的に低重量の血流制限トレーニングは筋ダメージが最低限に抑えられると思われていますが、それとは反対の結果です。(4)
しかしながら、悪魔は細部に宿ります。
過去の血流制限の研究ほとんどは、1RMの30%で、30・15・15・15レップのセットを実施していました。
血流制限があっても、1RMの30%で30レップは限界から十分に離れていて、30/15/15/15の組み方では最終セットで限界になるかどうかです。
このレップ数の組み方を利用した研究の多くは、低重量血流制限トレーニングにて筋ダメージが、トレーニング未経験者においても、ほとんど無い/無いと示しています。
しかしながら、低重量血流制限トレーニングでも全てのセットを限界まで行えば、かなりの筋ダメージを生み出すことができると思えます。(5,6)
関係したトピックとして、本研究は反復効果*の結果を証明しています。(*反復効果:原文ではRepeated Bout Effect。身体が慣れてダメージが少なくなってくることです。)
最初のブロックでは筋肉痛が強く、ミオグロビンとクレアチンキナーゼが著しく上昇しました。
2ブロック目では(同様のトレーニングスタイルに7回晒された後)、筋ダメージを表す指標の上昇は見られませんでした。
筋持久力と最大筋力
本研究の実際のトレーニング結果を解析するのは難しいです。単純な重要ポイントとしては、本研究はトレーニング特異性を綺麗に証明しています。
1ブロック目から2ブロック目にかけて、筋持久力(セッション毎の達成レップ数)は10%強伸びています。
しかしながら、最大筋力は基準値テストから1RMテスト(2ブロック目が終わって3日後)にかけて有意に向上していません。
トレーニング重量が非常に軽かったので筋持久力を向上させるには効果的でしたが、最大筋力には効果がほとんどなかったのです。
最大筋力の結果は少し混乱します。膝伸展最大筋力は、最後のトレーニングセッションから20日後になるまで基準値から有意に向上しませんでした。
これを遅発性超回復とも捉えられますが、一方でテストに慣れてきた効果と見ることもできます。
研究開始時にテストに慣れさせられましたが、トレーニング未経験者なので、2ブロック目が終わるタイミングでも最大出力での膝伸展運動を多く経験していません。
特にトレーニング未経験者においては、テストを数回やって慣れるだけで、最大筋力が微増(最大+6%)するのは理解できます。
トレーニング終了10日後に筋力は有意に向上していなかったので、上記の可能性が高いと考えています。
研究で行われたトレーニングはもちろん辛いものでしたが、10日間休憩しても疲労が抜けないほど厳しいものだったとは考えられません。
筋断面積
最大筋力と違い、筋繊維のサイズには実際に遅発性超回復が起こったように見えます。
トレーニング終了3日後〜10日後の間で、両筋繊維タイプの断面積が10%以上増加しました。
前述したように、アナボリックシグナルの環境(p21の減少、ミオゲニンとサイクリンD2の増加)はトレーニング終了10日後が最も筋肥大に好ましい状態だったと思えるので、これが要因かもしれません。
MASSの過去記事にて紹介したように、トレーニング、ディトレーニング、リトレーニングも筋肥大に好ましいエピジェネティックの変化をもたらします。これも要因かもしれません。
しかしながら、考えられるこれら2つの要因だけでこの研究結果を完全に説明できるかはわからないです。
理解している限りでは、筋力トレーニング後にこのような遅発性筋肥大超回復を示した最初の研究であるため、この結果が複製できるか見てみたいです。
筋全体のサイズ
筋全体の筋肥大と筋繊維の筋肥大とでかなり異なったパターンを示した点は興味深いです。
最初の段階では、筋全体のサイズ(筋厚もしくは断面積)は増加し、筋繊維断面積は減少しました。
トレーニング期間中、筋全体のサイズにおける増加は最低でも少しは腫れ(浮腫)によるものであったはずです。
しかしながら、筋全体のサイズはトレーニングブロック間の休憩期4日目になっても基準値より高い傾向にあり(これだけの時間があれば浮腫も消えるはずです)、2ブロック目からトレーニング終了10日後にかけて若干減少する傾向にありました。
そのため、ボディビル系競技者にとって筋繊維サイズの遅発性超回復はそんな大した意味を持たないと思います。
筋繊維サイズが少し成長していても、筋全体でサイズに変化がなければ、筋肉の見た目に影響はないでしょう。
筋肥大の測定方法毎に異なった結果にたどり着いた点も面白いです。
前述した通り、筋肥大の時間軸は完全に異なるものでした。しかし、変化度合いも異なっていました。
トレーニング終了10日語には、平均筋繊維断面積は最大15%増加していましたが、筋全体のサイズはその数字が6〜7%でした。
異なった筋肥大測定方法によって著しく異なる結果が見られるという、Haunらによる最近の研究に似ています。(9)
現時点ではこの情報をどうすればいいかわかりませんが、筋繊維のサイズと筋全体のサイズの変化に違いがあることについて、さらなる研究を見たいです。
可能性としては、筋生検された繊維が筋全体の繊維を表してないことがあり得ます(部分的な筋肥大により)。
筋肉の腫れも筋繊維よりも筋全体のサイズに影響があるはずです。
しかしながら、おそらくもっと様々な要素が関係しているでしょう。
個人差
いつも通り、反応の個人差について触れておくことは重要です。ある被験者ではタイプ1筋繊維サイズが最大50%増加した一方で、2人の被験者では最大5%減少しています。
タイプ2筋繊維についても同じことが言えます。
ある被験者は40%を若干超えるほどの増加が見られましたが、10%を超える減少が見られる人もいました。
筋力に関しては、およそ8%弱くなった人もいれば、およそ15%強くなった人もいます。
他のあらゆる研究同様、誰もが平均近くの結果を得ると推測しないでください。
筋サテライト細胞
本研究の著者は、高重量な筋力トレーニングをトレーニング未経験者に実施させる研究で一般的に見られるよりも、本研究の方が筋サテライト細胞の反応が大きかったと述べています。
しかしながら、増加数は以前行われた低重量血流制限研究よりも大きなものではありませんでした。(3)
トレーニングストレスの差が、この差の要因だと著者は推測しています。
本研究の被験者たちは完全に限界まで追い込んでいて、以前の研究著者は最初の数セッションはあまり追い込んでいないと述べています。
本研究の著者は、筋サテライト細胞の反応が小さかった点と最初に筋繊維サイズと筋力が低下した点は、単純に最初のブロックで回復できる以上に被験者を追い込んだからかもしれないと考察しています。
筋繊維タイプ別の成長
最後に、タイプ1繊維のサイズ(+19%)の方がタイプ2繊維のサイズ(+11%)よりも増加幅が大きい傾向にあり、タイプ1繊維の成長が優先されているかもしれない点は興味深いです。
同研究グループのパワーリフターを対象とした低重量血流制限トレーニングの過去研究では、初めて(私の中で)筋繊維タイプ特異の筋肥大に対する強い根拠が示されました。(2)
しかしながら、本研究で筋繊維タイプ特異の筋肥大が起こっているかに関しては、上記研究ほど認めていません。
両筋繊維タイプの断面積は10日間の休憩期からトレーニング終了10日後の間で、同程度増加しています。
違いは、最初のトレーニングブロック間にタイプ2筋繊維の方が萎縮したという点です。
そのため、筋繊維タイプ特異の筋萎縮は主張できるかもしれませんが、本研究でタイプ1筋繊維の方が成長したという根拠はそこまで認めていません。
オーバーリーチング
このレビューを読んでテンションが上がりオーバーリーチングブロックを試す人もいると思います。
結局のところ、オーバーリーチングブロックの考えの基となっている、遅発性超回復に関する直接的な根拠を得たのです。
しかしながら、私であればそのような解釈には注意します。
まず初めに、筋力の伸び幅は大したものではなく、筋全体のサイズでは遅発性超回復が示されていません。
さらに重要な点として、オーバーリーチングのないトレーニングと比べて、(恐らくオーバーリーチングによって)遅発性超回復があった方が被験者が合計で伸びたのかも分かりません。
例えば、筋繊維サイズは最初に減少し、10日間の休憩期かたトレーニング終了10日後の間に急激に増加しました。またトレーニング終了3日後から10日後の間で大きく増加しています。
実際に遅発性超回復が起こった期間を見てみると、結果は確かに素晴らしいものです。 筋繊維断面積は1日でおよそ1%増加していて、異常な伸び率です。
しかしながら、オーバーリーチングせずに最初のトレーニングブロック中とその後に筋萎縮を経験しなければ、合計でもっと成長した可能性もあります。
オーバーリーチングによって結果が向上する明白な根拠がない限り、リターンが明白でない(良くても小さなリターン)高リスク(オーバートレーニングの可能性を高め、怪我のリスク向上にも繋がり得る)な戦略に思えます。
最後に、遅発性超回復が完全に理解されていないという点は明らかです。
トレーニング経験者が中〜高重量でトレーニングした後に起こるかもしれませんし、トレーニング未経験者が超低重量でやった時だけ起こる事象かもしれません。
遅発性超回復について分からないことが非常に多いのです。
血流制限トレーニング
最後のポイントとして、筋肥大最大化を求める人にとって、高頻度の低重量血流制限トレーニングブロックを時折行うのは効果的だと、本研究のいくつかの結果によって主張できます。
過去に学んだように(2)、パワーリフターにおいて低重量高レップフロントスクワットを血流制限で行うと1週間のブロックを2回行っただけで、大腿四頭筋が大いに成長します。
本研究の著者は、一般的な高重量トレーニングで見られるよりも、低重量血流制限トレーニングの方が筋サテライト細胞の反応が大きかった点、筋核ドメインサイズが減少したことで被験者が将来的な成長に適した状態である可能性を述べています。
筋繊維断面積が新たな筋核が追加されるよりも早く増加するため、筋核ドメインはトレーニングにより最初は増加する傾向があります。(筋核ドメイン限度と呼ばれる相対的に決まったサイズまでは)(10)
一般的に筋核ドメイン限度よりも低い方が筋肥大は簡単なため、筋核ドメインサイズが減少したことで、被験者がさらなる成長に適した状態であったと考えられます。
しかしながら、同様に注意しなければいけません。トレーニング経験者でも同様の筋核ドメインの結果が得られるとは分かりません。
次に必要なステップ
特に筋繊維サイズの遅発性超回復に関して、トレーニング経験者で研究結果が複製できるか見てみたいです。
トレーニングブロック中とその後の筋たんぱく質の亜分画の差も見てみたいです。
収縮性たんぱく質がトレーニング中に増加し、構造たんぱく質と代謝たんぱく質は収縮性たんぱく質をサポートするためにトレーニングを終えてから増加したのかもしれません。(筋原繊維筋肥大の後に筋形質筋肥大が起こるように)
もしくは、構造たんぱく質と代謝たんぱく質がトレーニング不可に対応するために増加し、その後に収縮性たんp買う室が増加したのかもしれません。(筋形質筋肥大の後に筋原繊維筋肥大が起こるように)
最後に、急性なオーバーリーチングを生み出したと思われる今回のような「凝縮」されたトレーニング(5日間で7セッションを2ブロック)と、より分散させたトレーニング(28日間で14セッションなど)との比較を見てみたいです。
分散させた方が筋力の伸び幅は大きいと思いますが、凝縮させた方が筋肉に適応させる過負荷を与える手段になり、筋肥大に効果的ということもあり得ます。
今回の研究から適用できることと覚えておくべきこと
本研究の結果は、MASSの読者が日頃行うトレーニングに適用できるものか分からないので、具体的なポイントを抜き出すことに関しては慎重になりたいです。
しかしながら、本研究が出るまでは議論されていた(個人的には疑っていた)遅発性筋肥大超回復は少なくとも可能だと分かりました。
参考文献
- Bjørnsen T, Wernbom M, Løvstad AT, Paulsen G, D’Souza RF, Cameron-Smith D, Flesche A, Hisdal J, Berntsen S, Raastad T. Delayed myonuclear addition, myofiber hypertrophy and increases in strength with high-frequency low-load blood flow restricted training to volitional failure. J Appl Physiol (1985). 2018 Dec 13.
- Bjørnsen T, Wernbom M, Kirketeig A, Paulsen G, Samnøy L, Bækken L, Cameron-Smith D, Berntsen S, Raastad T. Type 1 Muscle Fiber Hypertrophy after Blood Flow-restricted Training in Powerlifters. Med Sci Sports Exerc. 2018 Sep 4.
- Nielsen JL, Aagaard P, Bech RD, Nygaard T, Hvid LG, Wernbom M, Suetta C, Frandsen U. Proliferation of myogenic stem cells in human skeletal muscle in response to low-load resistance training with blood flow restriction. J Physiol. 2012 Sep 1;590(17):4351-61.
- Loenneke JP, Thiebaud RS, Abe T. Does blood flow restriction result in skeletal muscle damage? A critical review of available evidence. Scand J Med Sci Sports. 2014 Dec;24(6):e415-422.
- Umbel JD, Hoffman RL, Dearth DJ, Chleboun GS, Manini TM, Clark BC. Delayed-onset muscle soreness induced by low-load blood flow-restricted exercise. Eur J Appl Physiol. 2009 Dec;107(6):687-95.
- Cumming KT, Paulsen G, Wernbom M, Ugelstad I, Raastad T. Acute response and subcellular movement of HSP27, αB-crystallin and HSP70 in human skeletal muscle after blood-flow-restricted low-load resistance exercise. Acta Physiol (Oxf). 2014 Aug;211(4):634-46.
- Hyldahl RD, Chen TC, Nosaka K. Mechanisms and Mediators of the Skeletal Muscle Repeated Bout Effect. Exerc Sport Sci Rev. 2017 Jan;45(1):24-33.
- Seaborne RA, Strauss J, Cocks M, Shepherd S, O’Brien TD, van Someren KA, Bell PG, Murgatroyd C, Morton JP, Stewart CE, Sharples AP. Human Skeletal Muscle Possesses an Epigenetic Memory of Hypertrophy. Scientific Reports. vol. 8, Article number: 1898 (2018)
- Haun CT, Vann CG, Mobley CB, Roberson PA, Osburn SC, Holmes HM, Mumford PM, Romero MA, Young KC, Moon JR, Gladden LB, Arnold RD, Israetel MA, Kirby AN, Roberts MD. Effects of Graded Whey Supplementation During Extreme-Volume Resistance Training. Front Nutr. 2018 Sep 11;5:84.
- Bruusgaard JC, Johansen IB, Egner IM, Rana ZA, Gundersen K. Myonuclei acquired by overload exercise precede hypertrophy and are not lost on detraining. Proc Natl Acad Sci U S A. 2010 Aug 24;107(34):15111-6.

